최근 인공지능(AI) 기반 투자 플랫폼 딥시크(DeepSeek)가 주식 시장에서 큰 주목을 받고 있습니다. 특히 딥시크(DeepSeek)의 R1 모델 발표 이후, 엔비디아(NVIDIA)와 브로드컴(Broadcom)과 같은 주요 반도체 기업들의 주가가 급격히 하락하면서 투자자들 사이에서 큰 논란이 되고 있습니다. 이번 포스팅에서는 딥시크(DeepSeek)의 AI 혁신, R1 모델 발표로 인한 반도체 주가 하락의 이유와 원인, 그리고 향후 전망에 대해 심층적으로 분석해보겠습니다.

딥시크(DeepSeek)의 첨단 AI 기술과 시장의 초기 반응



AI 혁신의 선도자, 딥시크(DeepSeek)
딥시크는 최첨단 AI와 머신러닝 기술을 활용하여 주식 시장 데이터를 분석하고 예측하는 혁신적인 투자 플랫폼입니다. 이 회사는 인간의 가르침 없이 스스로 학습하고 판단할 수 있는 기반을 마련하여, 빅테크 기업들과 경쟁할 수 있는 유력한 플레이어로 자리잡고 있습니다. 딥시크의 AI 모델은 기존의 데이터 분석 방식을 넘어, 스스로 학습하며 더 정교한 예측을 가능하게 합니다.
시장의 첫 반응과 신뢰 구축
딥시크에 대한 첫 인상은 새로운 인공지능 모델 중 하나로 여겨졌으나, 시간이 지나면서 그 기술의 진정성이 확인되었습니다. 초기에는 마케팅 과장에 대한 의심이 있었으나, 딥시크의 R1 모델 발표 후 기술의 우수성이 입증되면서 시장에서의 신뢰를 얻고 있습니다. 투자자들은 딥시크의 AI 혁신이 주식 시장에 미치는 영향을 주목하고 있으며, 이는 반도체 기업들의 주가 하락으로 이어졌습니다.
비용 구조의 불투명성과 정보의 부족

막대한 비용의 현실과 불투명성
딥시크의 AI 연구와 개발에는 막대한 비용이 소요되며, 이는 10억 원에서 600만 달러에 이르는 비용 차이가 존재합니다. 그러나 실제 비용을 정확히 파악하기는 어려운 상황입니다. 비상장 회사인 딥시크는 자주 확인할 방법이 없기 때문에, 투자자들은 회사 측의 주장에 의존할 수밖에 없습니다. 논문에 따르면, R1 모델의 AI 훈련 비용은 80억 원에 달하며, 이는 명확히 정해진 상태에서의 비용입니다. 추가 비용으로는 인건비, 운영비 등이 포함되어 있으며, 발표된 비용은 과소 평가될 가능성이 큽니다.
정보의 부족과 신뢰 문제
딥시크는 오픈소스를 공개하여 초기 트레이닝 과정의 결과물을 공유하고 있습니다. 이는 데이터 유출에 대한 우려를 줄이고, 사용자가 로컬 환경에서 모델을 활용할 수 있게 하지만, 초기 비용과 관련된 정보는 회사의 입장만을 들을 수밖에 없습니다. 이러한 정보의 불투명성은 투자자들 사이에서 신뢰 문제를 야기하며, 반도체 기업들의 주가 하락에도 영향을 미쳤습니다.
딥시크의 연구 성과와 업계 평가


탁월한 연구 성과
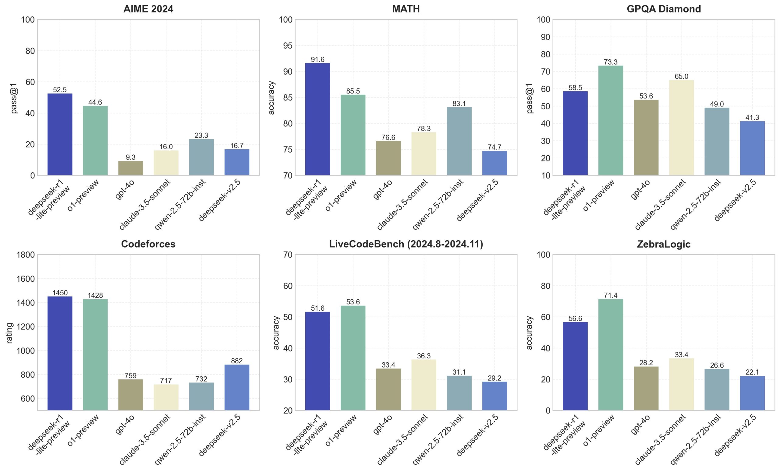
딥시크는 AI 연구에서 뛰어난 효율성과 참신성을 보이며, 현재 최첨단 인공지능 연구를 진행하고 있는 회사로 인정받고 있습니다. 초기에는 중국산 제품이라는 이유로 의심을 받았으나, 딥시크의 연구 성과는 모두에게 놀라움을 안겨주었습니다. 연구 성과에서 일부 과장된 부분이 존재할 수 있지만, 전반적으로 그 성과는 평가절하될 이유가 없으며, 정말로 대단한 성과임을 인정받고 있습니다.
업계의 긍정적인 평가
딥시크의 연구 결과는 AI 커뮤니티에서 큰 주목을 받았으며, 특히 R1 모델의 발표는 AI 투자 도구의 새로운 기준을 제시했습니다. 이효석과 김단테와 같은 전문가들의 심도 깊은 논의를 통해 딥시크의 기술적 효율성과 혁신성이 재조명되었고, 이는 시장의 신뢰 회복에 기여하고 있습니다. 투자자들은 딥시크의 연구 성과가 반도체 산업에 미치는 장기적인 영향을 주목하고 있습니다.
알파고 제로와 딥시크 R1 제로의 학습 방식 비교


알파고 제로의 혁신적 학습 방식
알파고 제로는 기존의 기보를 사용하지 않고, 점수를 기반으로 스스로 바둑을 두며 학습하는 방식으로 성공을 거두었습니다. 이 방식은 기존의 지식 없이도 뛰어난 성능을 보였으며, AI 학습 패러다임에 혁신을 가져왔습니다.
딥시크 R1 제로의 자가 학습 모델
딥시크의 R1 제로 모델은 알파고 제로와 유사하게, 답변의 성과에 대해 점수를 매기며 학습하는 모델입니다. 이로 인해 인간의 직접적인 가르침 없이도 스스로 지능을 키울 수 있는 가능성을 제시했습니다. 딥시크의 접근 방식은 학습 패러다임을 혁신적으로 변화시켰으며, 이는 AI 커뮤니티에서 큰 주목을 받았습니다. 기존의 방법과 비교해 인간의 개입을 최소화한 점이 강점입니다.
오픈소스의 중요성과 영향력
딥시크는 오픈소스로 R1 제로를 공개하여, 기업이나 개인이 쉽게 사용할 수 있도록 했습니다. 이는 기술 혁신을 촉진시키고, 연구자들이 능력을 발휘할 수 있는 환경을 제공하는 데 기여했습니다. 오픈소스의 중요성은 실질적으로 더 나은 인재를 끌어들이고, AI 기술의 발전을 가속화하는 데 있습니다.
AI 기술의 급속한 발전과 딥시크(DeepSeek)의 시장 영향력


AI 발전의 가속화와 산업적 영향
딥시크 사건은 AI 발전의 속도를 높이는 계기가 될 가능성이 큽니다. AI 기술의 가속화는 반도체 산업뿐만 아니라 다양한 기술 산업에도 영향을 미치며, 성장 과정이 가시화되고 있습니다. 미국의 AI 기업들은 중국의 발전에 자극받아 보다 공격적으로 투자를 확대할 전망입니다.
딥시크(DeepSeek)의 시장 영향력과 경쟁력
딥시크 창업자 양원펑은 AI 반도체 수급에 대한 우려를 표명했으며, 이는 AI 업계의 경쟁이 더욱 치열해질 것임을 시사합니다. 트럼프 전 대통령의 AI 관련 발언에서도 중국을 지나치게 의식하지 않고 경쟁을 선도하려는 의지가 드러났습니다. 딥시크 사건으로 인해 AI 기술 발전에 대한 기업과 개인의 관심이 더욱 높아지고 있으며, 이는 향후 시장의 변동성을 초래할 것으로 보입니다.
미래 전망과 투자자 전략
딥시크의 R1 모델 발표로 인한 반도체 주가 하락은 단기적인 충격에 불과할 수 있지만, 장기적으로는 여러 가지 전망이 존재합니다. 딥시크(DeepSeek)은 기술적 혁신과 규제 준수, 데이터 보안 강화, 윤리적 경영을 통해 지속 가능한 성장을 도모할 수 있으며, 반도체 산업과의 협업을 통해 더욱 강력한 시장 입지를 확보할 수 있을 것입니다. AI 기반 투자 도구에 대한 수요는 지속적으로 증가할 것으로 예상되며, 딥시크(DeepSeek)은 이러한 수요를 충족시키기 위해 서비스의 다양화와 접근성을 높일 필요가 있습니다.
결론


딥시크(DeepSeek)의 R1 모델 발표는 주식 시장에서 큰 파장을 일으켰으며, 특히 엔비디아와 브로드컴 같은 주요 반도체 기업들의 주가 하락을 초래했습니다. 이는 AI 기술의 발전이 전통적인 반도체 산업에 미치는 영향을 잘 보여주는 사례입니다. 그러나 이러한 도전 과제는 동시에 새로운 기회로 작용할 수 있습니다. 딥시크(DeepSeek)은 기술적 혁신과 규제 준수, 데이터 보안 강화, 윤리적 경영을 통해 지속 가능한 성장을 도모할 수 있으며, 반도체 산업과의 협업을 통해 더욱 강력한 시장 입지를 확보할 수 있을 것입니다.
투자자들은 딥시크(DeepSeek) 의 발전 동향을 면밀히 주시하면서, AI 기술이 주식 시장과 산업 전반에 미치는 영향을 신중하게 평가할 필요가 있습니다. AI 기반 투자 도구는 금융 시장의 미래를 재정의하고 있으며, 이에 대한 이해와 대비가 성공적인 투자의 열쇠가 될 것입니다.
이상으로 딥시크(DeepSeek) 사건 총정리 및 엔비디아 주가 하락 원인 및 전망 포스팅을 마칩니다.
'정보' 카테고리의 다른 글
| 트럼프 코인 거래 방법, 전망, 특징 총정리 (0) | 2025.01.21 |
|---|---|
| 도지코인 특징, 전망, 활용분야, 장단점, 거래소, 거래방법 (0) | 2025.01.12 |
| 리플이란? 리플 특징, 전망, 활용 분야, 장단점 총정리 (0) | 2025.01.11 |
| 애플워치10 출시일 특징 가격 사전주문 총정리 (0) | 2024.09.12 |
| 아이폰16 vs 아이폰16 프로: 어떤 모델을 선택해야 할까? (4) | 2024.09.10 |
댓글